The metafor package is a comprehensive collection of
functions for conducting meta-analyses in R. The package includes
functions to calculate various effect sizes or outcome measures, fit
equal-, fixed-, random-, and mixed-effects models to such data, carry
out moderator and meta-regression analyses, and create various types of
meta-analytical plots (e.g., forest, funnel, radial, L’Abbé, Baujat,
bubble, and GOSH plots). For meta-analyses of binomial and person-time
data, the package also provides functions that implement specialized
methods, including the Mantel-Haenszel method, Peto’s method, and a
variety of suitable generalized linear (mixed-effects) models (i.e.,
mixed-effects logistic and Poisson regression models). Finally, the
package provides functionality for fitting meta-analytic
multivariate/multilevel models that account for non-independent sampling
errors and/or true effects (e.g., due to the inclusion of multiple
treatment studies, multiple endpoints, or other forms of clustering).
Network meta-analyses and meta-analyses accounting for known correlation
structures (e.g., due to phylogenetic relatedness) can also be
conducted.
The metafor package website can be found at https://www.metafor-project.org.
On the website, you can find:
A good starting place for those interested in using the
metafor package is the following paper:
Viechtbauer, W. (2010). Conducting meta-analyses in R with the metafor package. Journal of Statistical Software, 36(3), 1-48. https://doi.org/10.18637/jss.v036.i03
In addition to reading the paper, carefully read the package
intro and then the help pages for the escalc
and the rma.uni
functions (or the rma.mh,
rma.peto,
rma.glmm,
rma.mv
functions if you intend to use these methods). The help pages for these
functions provide links to many additional functions, which can be used
after fitting a model. You can also read the entire documentation online
at https://wviechtb.github.io/metafor/
(where it is nicely formatted, equations are shown correctly, and the
output from all examples is provided).
Note that the documentation provided at https://wviechtb.github.io/metafor/ is based on the development version of the package (see below). Therefore, if an example from the documentation does not work as intended, try out the development version first.
The current official (i.e., CRAN) release can be installed within R with:
install.packages("metafor")The development version of the package can be installed with:
install.packages("remotes")
remotes::install_github("wviechtb/metafor")This builds the package from source based on the current version on GitHub.
# load the metafor package
library(metafor)
# examine the BCG vaccine dataset
dat.bcg## trial author year tpos tneg cpos cneg ablat alloc
## 1 1 Aronson 1948 4 119 11 128 44 random
## 2 2 Ferguson & Simes 1949 6 300 29 274 55 random
## 3 3 Rosenthal et al 1960 3 228 11 209 42 random
## 4 4 Hart & Sutherland 1977 62 13536 248 12619 52 random
## 5 5 Frimodt-Moller et al 1973 33 5036 47 5761 13 alternate
## 6 6 Stein & Aronson 1953 180 1361 372 1079 44 alternate
## 7 7 Vandiviere et al 1973 8 2537 10 619 19 random
## 8 8 TPT Madras 1980 505 87886 499 87892 13 random
## 9 9 Coetzee & Berjak 1968 29 7470 45 7232 27 random
## 10 10 Rosenthal et al 1961 17 1699 65 1600 42 systematic
## 11 11 Comstock et al 1974 186 50448 141 27197 18 systematic
## 12 12 Comstock & Webster 1969 5 2493 3 2338 33 systematic
## 13 13 Comstock et al 1976 27 16886 29 17825 33 systematic
# tpos - number of TB positive cases in the treated (vaccinated) group
# tneg - number of TB negative cases in the treated (vaccinated) group
# cpos - number of TB positive cases in the control (non-vaccinated) group
# cneg - number of TB negative cases in the control (non-vaccinated) group
#
# these variables denote the values in 2x2 tables of the form:
#
# TB+ TB-
# +------+------+
# treated | tpos | tneg |
# +------+------+
# control | cpos | cneg |
# +------+------+
#
# year - publication year of the study
# ablat - absolute latitude of the study location (in degrees)
# alloc - method of treatment allocation (random, alternate, or systematic assignment)
# calculate log risk ratios and corresponding sampling variances for the BCG vaccine dataset
dat <- escalc(measure="RR", ai=tpos, bi=tneg, ci=cpos, di=cneg, data=dat.bcg,
slab=paste(author, year, sep=", ")) # also add study labels
dat## trial author year tpos tneg cpos cneg ablat alloc yi vi
## 1 1 Aronson 1948 4 119 11 128 44 random -0.8893 0.3256
## 2 2 Ferguson & Simes 1949 6 300 29 274 55 random -1.5854 0.1946
## 3 3 Rosenthal et al 1960 3 228 11 209 42 random -1.3481 0.4154
## 4 4 Hart & Sutherland 1977 62 13536 248 12619 52 random -1.4416 0.0200
## 5 5 Frimodt-Moller et al 1973 33 5036 47 5761 13 alternate -0.2175 0.0512
## 6 6 Stein & Aronson 1953 180 1361 372 1079 44 alternate -0.7861 0.0069
## 7 7 Vandiviere et al 1973 8 2537 10 619 19 random -1.6209 0.2230
## 8 8 TPT Madras 1980 505 87886 499 87892 13 random 0.0120 0.0040
## 9 9 Coetzee & Berjak 1968 29 7470 45 7232 27 random -0.4694 0.0564
## 10 10 Rosenthal et al 1961 17 1699 65 1600 42 systematic -1.3713 0.0730
## 11 11 Comstock et al 1974 186 50448 141 27197 18 systematic -0.3394 0.0124
## 12 12 Comstock & Webster 1969 5 2493 3 2338 33 systematic 0.4459 0.5325
## 13 13 Comstock et al 1976 27 16886 29 17825 33 systematic -0.0173 0.0714
# the dataset now includes two new variables:
# yi - the observed log risk ratios
# vi - the corresponding sampling variances# fit a random-effects model (with REML estimation and using the Knapp & Hartung method for
# testing the pooled estimate and for constructing confidence/prediction intervals)
res <- rma(yi, vi, data=dat, test="knha")
res## Random-Effects Model (k = 13; tau^2 estimator: REML)
##
## tau^2 (estimated amount of total heterogeneity): 0.3132 (SE = 0.1664)
## tau (square root of estimated tau^2 value): 0.5597
## I^2 (total heterogeneity / total variability): 92.22%
## H^2 (total variability / sampling variability): 12.86
##
## Test for Heterogeneity:
## Q(df = 12) = 152.2330, p-val < .0001
##
## Model Results:
##
## estimate se tval df pval ci.lb ci.ub
## -0.7145 0.1808 -3.9522 12 0.0019 -1.1084 -0.3206 **
##
## ---
## Signif. codes: 0 '***' 0.001 '**' 0.01 '*' 0.05 '.' 0.1 ' ' 1
# predicted pooled risk ratio (with 95% confidence/prediction intervals)
predict(res, transf=exp, digits=2)## pred ci.lb ci.ub pi.lb pi.ub
## 0.49 0.33 0.73 0.14 1.76
# forest plot
forest(res, atransf=exp, at=log(c(0.05, 0.25, 1, 4)), xlim=c(-16, 6),
ilab=cbind(tpos, tneg, cpos, cneg), ilab.xpos=c(-9.5, -8, -6, -4.5),
header="Author(s) and Year", ilab.lab=c("TB+", "TB-", "TB+", "TB-"),
shade="zebra")
text(c(-8.75, -5.25), 15.8, c("Vaccinated", "Control"), font=2)
# contour-enhanced funnel plot
funnel(res, ylim=c(0, 0.8), level=c(90, 95, 99), refline=0, las=1, legend=TRUE)
# regression test for funnel plot asymmetry
regtest(res)## Regression Test for Funnel Plot Asymmetry
##
## Model: mixed-effects meta-regression model
## Predictor: standard error
##
## Test for Funnel Plot Asymmetry: t = -0.7812, df = 11, p = 0.4512
## Limit Estimate (as sei -> 0): b = -0.5104 (CI: -1.2123, 0.1915)
# mixed-effects meta-regression model with absolute latitude as moderator
res <- rma(yi, vi, mods = ~ ablat, data=dat, test="knha")
res## Mixed-Effects Model (k = 13; tau^2 estimator: REML)
##
## tau^2 (estimated amount of residual heterogeneity): 0.0764 (SE = 0.0591)
## tau (square root of estimated tau^2 value): 0.2763
## I^2 (residual heterogeneity / unaccounted variability): 68.39%
## H^2 (unaccounted variability / sampling variability): 3.16
## R^2 (amount of heterogeneity accounted for): 75.62%
##
## Test for Residual Heterogeneity:
## QE(df = 11) = 30.7331, p-val = 0.0012
##
## Test of Moderators (coefficient 2):
## F(df1 = 1, df2 = 11) = 12.5905, p-val = 0.0046
##
## Model Results:
##
## estimate se tval df pval ci.lb ci.ub
## intrcpt 0.2515 0.2839 0.8857 11 0.3948 -0.3735 0.8764
## ablat -0.0291 0.0082 -3.5483 11 0.0046 -0.0472 -0.0111 **
##
## ---
## Signif. codes: 0 '***' 0.001 '**' 0.01 '*' 0.05 '.' 0.1 ' ' 1
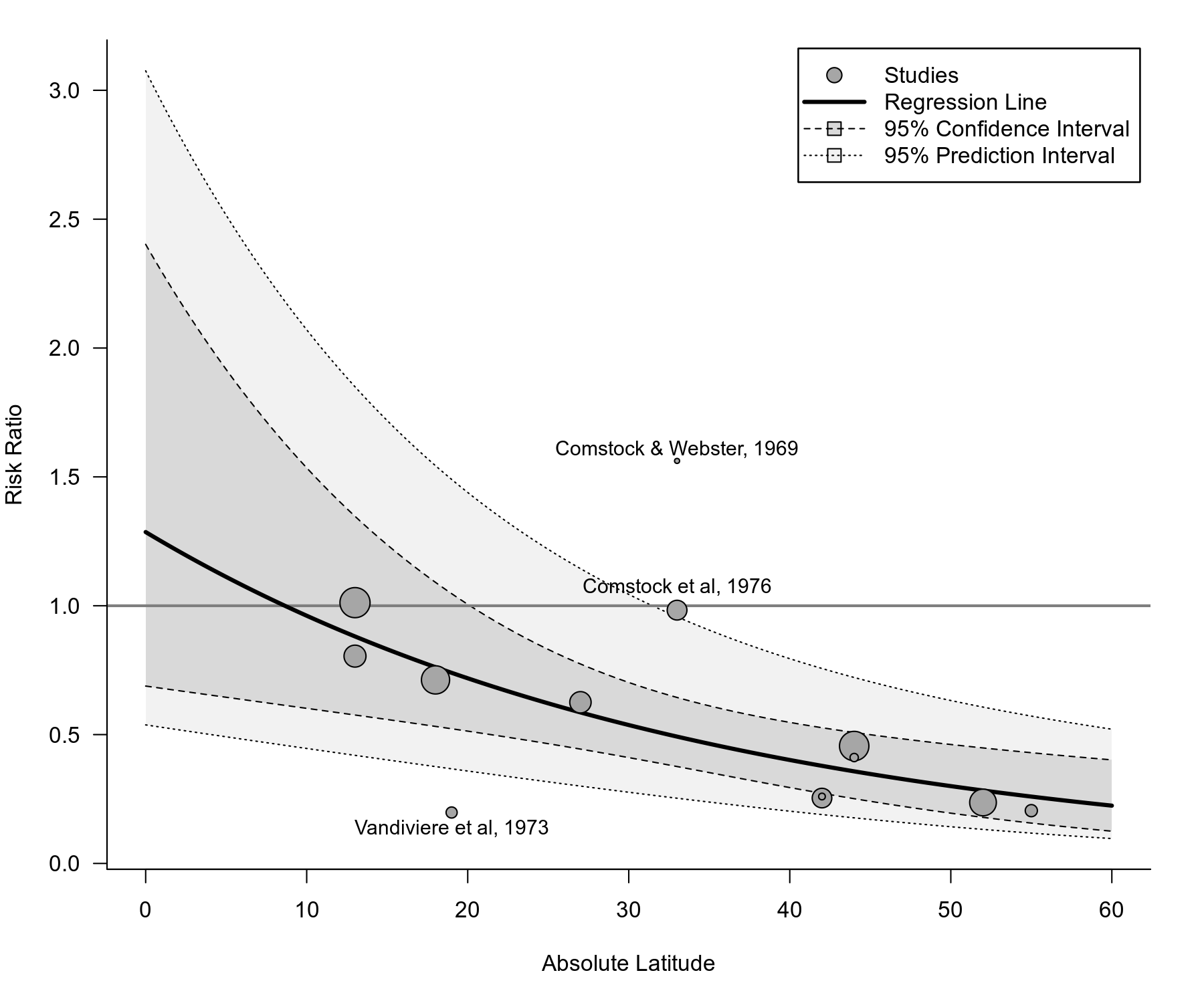
# bubble plot
regplot(res, mod="ablat", pi=TRUE, xlab="Absolute Latitude",
xlim=c(0, 60), predlim=c(0, 60), transf=exp, refline=1,
legend=TRUE, bty="l", las=1, digits=1)
The metafor package was written by Wolfgang Viechtbauer. It is licensed
under the GNU General
Public License. For citation info, type
citation(package='metafor') in R. To report any issues or
bugs or to suggest enhancements to the package, please go here.