| Type: | Package |
| Title: | Estimates of Coefficient of Overlapping for Animal Activity Patterns |
| Version: | 0.3.9 |
| Date: | 2024-01-16 |
| Depends: | suntools |
| Suggests: | sp |
| Description: | Provides functions to fit kernel density functions to data on temporal activity patterns of animals; estimate coefficients of overlapping of densities for two species; and calculate bootstrap estimates of confidence intervals. As in Ridout and Linkie (2009) <doi:10.1198/jabes.2009.08038>. |
| License: | GPL (≥ 3) |
| NeedsCompilation: | yes |
| RoxygenNote: | 7.2.3 |
| Packaged: | 2024-01-19 08:56:02 UTC; <ef><82><9d> <d1><8f><d0><be><d1><95><d1><94> <ce><b1><d0><bc><ce><b1><d0><b3><ce><b1><ce><b7><cf><84><d0><bd><d1><94> <ef><82><9c> |
| Author: | Mike Meredith [aut],
Martin Ridout [aut],
Liz A.D. Campbell |
| Maintainer: | Liz A.D. Campbell <lizadcampbell@gmail.com> |
| Repository: | CRAN |
| Date/Publication: | 2024-01-19 11:10:02 UTC |
Functions to estimate overlap of temporal activity patterns of animals
Description
The times recorded on camera trap photos provide information on the period during the day that a species is most active. Species active at the same periods may interact as predator and prey, or as competitors. The functions in this package allow the overlap to be quantified, and provide means of estimating confidence intervals with bootstraps.
Details
The functions in this package were originally optimised for a simulation study. Hence, speed is important and checking of input is minimal. It is the user's responsibility to make sure that input is valid.
In particular, note that all times are measured in radians. If your original data use 0-24 hours or 0-1 days, convert to radians: see the example in kerinci. If you need fitted densities in other units, use the output from densityPlot or overlapPlot.
Author(s)
Mike Meredith, based on work by Martin Ridout.
References
Ridout & Linkie (2009) Estimating overlap of daily activity patterns from camera trap data. Journal of Agricultural, Biological, and Environmental Statistics 14:322-337
See Also
See overlapTrue for the definition of the coefficient of overlapping, and overlapEst for equations for the estimators. See kerinci for an example of calculation of overlap and confidence interval from real data.
The R package activity has more functions for analysis of animal activity patterns.
Examples
# Get example data:
data(simulatedData)
# Use defaults:
overlapEst(tigerObs, pigObs)
# Dhat1 Dhat4 Dhat5
# 0.2908618 0.2692011 0.2275000
overlapEst(tigerObs, pigObs, type="Dhat4")
# Dhat4
# 0.2692011
Confidence interval calculation from bootstrap samples.
Description
bootCI calculates five different confidence intervals from bootstrap samples: see details: bootCIlogit calculates corrections on the logit scale and back-transforms.
Usage
bootCI(t0, bt, conf = 0.95)
bootCIlogit(t0, bt, conf = 0.95)
Arguments
t0 |
the statistic estimated from the original sample, usually the output from |
bt |
a vector of bootstrap statistics, usually the output from |
conf |
a (single!) confidence interval to estimate. |
Details
Let t = true value of the statistic,
t0 = estimate of t based on the original sample,
bt = bootstrap estimates.
If bootstrap sampling introduces no bias, E[mean(bt)] = t0, otherwise BS bias = mean(bt) - t0.
Assuming that the original sampling causes the same bias as the bootstrap sampling, we write: mean(bt) - t0 = t0 - t, and hence calculate a bias-corrected estimate, t1 = 2 x t0 - mean(bt).
The percentiles CI, “perc”, gives quantiles of the bootstrap values, interpolated if necessary. However, in general, the bootstrap estimates are biased, so “perc” should be corrected.
“basic” is a bias-corrected version of “perc”, analogous to t1: 2 x t0 - perc.
“norm” gives tail cutoffs for a normal distribution with mean = t1 and sd = sd(bt).
These three are equivalent to the confidence intervals returned by boot::boot.ci. “basic” and “norm” are appropriate if you are using the bias-corrected estimator, t1. If you use the uncorrected estimator, t0, you should use “basic0” or “norm0”:
“basic0” is perc - mean(bt) + t0.
“norm0” gives tail cutoffs as before, but with mean = t0 instead of t1.
The "logit" versions perform the corrections on the logit scale and then back transform. This would be appropriate for probabilities or proportions.
Value
A named matrix with 2 columns for lower and upper limits and a row for each type of estimate. Values will be NA if the bootstrap sample is too small (after removing NAs) for estimation: 40 is the minimum for a 95% confidence interval, 200 for 99% (though for stable estimates you need at least 999 bootstrap estimates, preferably 10,000).
Author(s)
Mike Meredith
See Also
boot.ci in package boot. See kerinci for an example.
Examples
# See ?kerinci
Times of 'capture' of large mammals
Description
Times of capture of large mammals in camera traps in Kerinci Seblat National Park, Indonesia.
Usage
data(kerinci)
Format
A data frame with 1098 rows and three columns:
- Zone
A number indicating which of four zones the record comes from.
- Sps
A factor indicating which species was observed: boar (wild pig), clouded leopard, golden cat, macaque, muntjac, sambar deer, tapir, or tiger.
- Time
The time of the observation on a scale of 0 to 1, where 0 and 1 both correspond to midnight
Source
Ridout, M.S. and Linkie, M. (2009) Estimating overlap of daily activity patterns from camera trap data. Journal of Agricultural, Biological and Environmental Statistics, 14, 322-337.
https://www.kent.ac.uk/smsas/personal/msr/overlap.html
Examples
data(kerinci)
str(kerinci)
# Time is in days, ie. 0 to 1:
range(kerinci$Time)
# Convert to radians:
timeRad <- kerinci$Time * 2*pi
# Extract data for tiger and tapir for Zone3:
spsA <- timeRad[kerinci$Zone == 3 & kerinci$Sps == 'tiger']
spsB <- timeRad[kerinci$Zone == 3 & kerinci$Sps == 'tapir']
# Plot the data:
overlapPlot(spsA, spsB) # Tapir are mainly nocturnal
overlapPlot(spsA, spsB, xcenter="midnight")
legend('topleft', c("Tiger", "Tapir"), lty=c(1, 2), col=c("black", "blue"), bty='n')
# Check sample sizes:
length(spsA)
length(spsB)
# If the smaller sample is less than 50, Dhat1 gives the best estimates, together with
# confidence intervals from a smoothed bootstrap with norm0 or basic0 confidence interval.
# Calculate estimates of overlap:
( Dhats <- overlapEst(spsA, spsB) ) # or just get Dhat1
( Dhat1 <- overlapEst(spsA, spsB, type="Dhat1") )
# Do 999 smoothed bootstrap values:
bs <- bootstrap(spsA, spsB, 999, type="Dhat1", cores=1)
mean(bs)
hist(bs)
abline(v=Dhat1, col='red', lwd=2)
abline(v=mean(bs), col='blue', lwd=2, lty=3)
# Get confidence intervals:
bootCI(Dhat1, bs)['norm0', ]
bootCI(Dhat1, bs)['basic0', ]
Simulated data for bird calls influenced by sunrise
Description
A simulated data set of bird calling activity. 80% occur around sunrise with a strong peak just before sunrise, the remainder occur around sunset. Changes in the times of sunrise and sunset through the year mean that both peaks appear to be broader than they should. The hypothetical location is near St Andrews, UK, longitude 3 degrees West, latitude 56 degrees North (CRS WGS84) and times are GMT throughout (not British Summer Time).
Usage
data(simCalls)
Format
The data set consists of a data frame with two columns:
time is a vector of 100 observations of bird calls in radians. Here \pi/2 corresponds to 6am and 3\pi/2 to 6pm. The time zone is UTC (GMT).
dates is a character vector of dates in ISO format.
Source
Simulated data.
Examples
## See examples for the function 'sunTime'.
Simulated data for diel activity patterns
Description
tigerObs and pigObs are simulated data sets with times of observation. tigerTrue and pigTrue are densities from which the simulated observations were drawn.
Usage
data(simulatedData)
Format
The data set consists of four vectors:
tigerObs is a vector of 100 observations of a crepuscular species in radians.
pigObs is a vector of 80 observations of a diurnal species in radians.
tigerTrue and pigTrue are vectors of densities at 128 times equidistant between 0 and 2\pi inclusive.
Details
The figures below show the true densities (solid line), the simulated data (rug at the foot of the plot) and a kernel density fitted to the simulated data (dotted line).
Examples
data(simulatedData)
xx <- seq(0, 2*pi, length=128)
plot(xx, tigerTrue, type='l') # True density from which sample was drawn
rug(tigerObs)
Functions to generate bootstrap estimates of overlap
Description
bootstrap takes two sets of times of observations and calculates bootstrap estimates of the chosen estimator of overlap. Alternatively, bootstrap estimates can be calculated in a 2-stage process: (1) create a matrix of bootstrap samples for each data set, using resample; (2) pass these matrices to bootEst to obtain the bootstrap estimates.
A vector of bootstrap estimates can then be used to produce confidence intervals with bootCI.
Usage
bootstrap(A, B, nb, smooth=TRUE, kmax=3, adjust=NA, n.grid=128,
type=c("Dhat1", "Dhat4", "Dhat5"), cores=1)
resample(x, nb, smooth = TRUE, kmax = 3, adjust = 1, n.grid = 512)
bootEst(Amat, Bmat, kmax = 3, adjust=c(0.8, 1, 4), n.grid = 128,
type=c("all", "Dhat1", "Dhat4", "Dhat5"), cores=1)
Arguments
A, B |
vectors of times of observations of two different species in radians, ie. scaled to [0, |
nb |
the number of bootstrap samples required |
smooth |
if TRUE, smoothed bootstrap samples are produced. |
kmax |
maximum value of k for optimal bandwidth estimation. |
adjust |
bandwidth adjustment. If |
n.grid |
number of points at which to estimate density for comparison between species; smaller values give lower precision but run faster in bootstraps. |
type |
the name of the estimator to use, or "all" to produce all three estimates. See |
cores |
the number of cores to use for parallel processing. If NA, all but one of the available cores will used. Parallel processing may take longer than serial processing if the bootstrap runs quickly. |
x |
a numeric vector of time-of-capture data in radians, ie. on [0, |
Amat, Bmat |
matrices of resampled data for each species produced by |
Value
The function bootstrap returns a vector of bootstrap estimates. If estimation fails for a bootstrap sample, the corresponding value will be NA.
The function resample returns a numeric matrix with each column corresponding to a bootstrap sample. Times are in radians. It may return a matrix of NAs if smooth = TRUE and bandwidth estimation fails.
Function bootEst with type = "all" returns a numeric matrix with three columns, one for each estimator of overlap, otherwise a vector of bootstrap estimates.
Author(s)
Mike Meredith, including code by Martin Ridout.
References
Ridout & Linkie (2009) Estimating overlap of daily activity patterns from camera trap data. Journal of Agricultural, Biological, and Environmental Statistics 14:322-337
See Also
Examples
data(simulatedData)
est <- overlapEst(tigerObs, pigObs, type="Dhat4")
boots <- bootstrap(tigerObs, pigObs, 99, type="Dhat4", cores=1)
mean(boots)
hist(boots)
bootCI(est, boots)
# alternatively:
tigSim <- resample(tigerObs, 99)
dim(tigSim)
pigSim <- resample(pigObs, 99)
boots <- bootEst(tigSim, pigSim, type="Dhat4", cores=1)
mean(boots)
Fits von Mises kernel density to time-of-day data.
Description
Fits von Mises kernel density to time-of-day data. Intended primarily for internal use: input checking is minimal.
Usage
densityFit(x, grid, bw)
Arguments
x |
a vector of times of observations in radians, ie. scaled to [ |
grid |
a vector of times in radians for which the density is required. This could be a vector of equidistant values in [ |
bw |
bandwidth, the concentration parameter for the von Mises kernel: smaller values result in smoother curves. |
Value
Returns a vector of densities corresponding to the times in grid.
Author(s)
C code written by Mike Meredith.
See Also
getBandWidth for appropriate bandwidth.
Examples
# Get example data:
data(simulatedData)
densityFit(tigerObs, c(0, pi/2, pi, 3*pi/2, 2*pi), 50)
# Densities at 6am and 6pm are fairly high, at midnight and midday, tiny.
# A crepuscular species!
Plot fitted kernel densities
Description
Fits a kernel density function to a data set and plots it.
Usage
densityPlot(A, xscale = 24, xcenter = c("noon", "midnight"),
add = FALSE, rug = FALSE, extend = 'lightgrey',
n.grid = 128, kmax = 3, adjust = 1, ...)
Arguments
A |
a vector of times of observations in radians, ie. scaled to [ |
xscale |
The scale for the x axis: 24 (the default) produces a curve with 0 to 24 hours. NA gives a scale in radians, labelled with |
xcenter |
the center of the plot on the x axis: 'noon' (default) or 'midnight'. |
add |
If TRUE, the curve will be added to the existing plot. Use the same settings for xscale and xcenter as for the original plot. |
rug |
If TRUE, the original observations will be displayed as a rug at the bottom of the plot. |
extend |
If not NULL, the plot extends 3 hours before and after the main 24-hr period, and |
n.grid |
Number of points at which to estimate the density for plotting; 100 is usually adequate to give a smooth-looking curve. |
kmax |
maximum value of k for optimal bandwidth estimation. |
adjust |
bandwidth adjustment (scalar). |
... |
Further arguments passed to the plotting functions, such as |
Value
Returns invisibly a data frame with x and y coordinates which can be used for further plotting or calculations; see examples.
Author(s)
Mike Meredith
Examples
# Get example data:
data(simulatedData)
# Do basic plot with defaults:
densityPlot(pigObs)
# Prettier plots:
densityPlot(pigObs, extend=NULL, lwd=2)
densityPlot(pigObs, rug=TRUE, main="Simulated data", extend='gold')
densityPlot(tigerObs, add=TRUE, rug=TRUE, col='red')
legend('topleft', c("Tiger", "Pig"), lty=1, col=c('black', 'red'), bg='white')
# Add vertical dotted lines to mark sunrise (say 05:30) and sunset (18:47):
# (times must be in hours if the x-axis is labelled in hours)
abline(v=c(5.5, 18+47/60), lty=3)
# A plot centered on midnight:
densityPlot(pigObs, xcenter = "m")
# Mark sunrise/sunset; values to the left of "00:00" are negative
# so subtract 24:
abline(v=c(5.5, (18+47/60) - 24), lty=3)
# Using object returned:
densityPlot(pigObs, rug=TRUE, lwd=3)
# Don't like the rug with lwd = 3?
pigDens <- densityPlot(pigObs, rug=TRUE)
lines(pigDens, lwd=3)
# Add shading below the curve:
pigDens <- densityPlot(pigObs, extend=NULL)
polygon(pigDens, col='skyblue') # works if density at midnight = 0
tigDens <- densityPlot(tigerObs, extend=NULL)
# Add vertices at (0,0) and (24, 0)
poly <- rbind(c(0,0), tigDens, c(24,0))
polygon(poly, col='pink', border=NA)
lines(tigDens, lwd=2)
# What proportion of the density lies between 9:00 and 15:00 hrs?
wanted <- pigDens$x > 9 & pigDens$x < 15
mean(pigDens$y[wanted]) * 6 # probability mass for the 6 hr period.
# Plotting time in radians:
densityPlot(pigObs, xscale=NA, rug=TRUE)
densityPlot(tigerObs, xscale=NA, add=TRUE, rug=TRUE, col='red')
Optimal bandwidth calculation
Description
Calculates the optimal bandwidth for von Mises kernel density estimation for a given sample. Used internally by other functions in the package.
Usage
getBandWidth(A, kmax = 3)
Arguments
A |
a vector of times of observations in radians, ie. scaled to [0, |
kmax |
maximum moment to use for estimation; see Ridout & Linkie 2009. |
Value
Optimal bandwidth for the sample data, or NA if estimation fails.
Author(s)
Code by Martin Ridout, error handling modified by Mike Meredith.
References
Ridout & Linkie (2009) Estimating overlap of daily activity patterns from camera trap data. Journal of Agricultural, Biological, and Environmental Statistics 14:322-337
Taylor (2008) Automatic bandwidth selection for circular density estimation, Computational Statistics and Data Analysis, 52:3493-3500.
Examples
data(simulatedData)
getBandWidth(tigerObs, kmax = 3)
Estimates of coefficient of overlapping
Description
Calculates up to three estimates of activity pattern overlap based on times of observations for two species.
Usage
overlapEst(A, B, kmax = 3, adjust=c(0.8, 1, 4), n.grid = 128,
type=c("all", "Dhat1", "Dhat4", "Dhat5"))
Arguments
A |
a vector of times of observations of species A in radians, ie. scaled to [0, |
B |
a vector of times of observations of species B in radians. |
kmax |
maximum value of k for optimal bandwidth estimation. |
adjust |
bandwidth adjustment; either a single value used for all 3 overlap estimates, or a vector of 3 different values. This corresponds to 1/c in Ridout & Linkie 2009. |
n.grid |
number of points at which to estimate density for comparison between species; smaller values give lower precision but run faster in simulations and bootstraps. |
type |
the name of the estimator to use: |
Details
See overlapTrue for the meaning of coefficient of overlapping, \Delta.
These estimators of \Delta use kernel density estimates fitted to the data to approximate the true density functions f(t) and g(t). Schmid & Schmidt (2006) propose five estimators of overlap:
Dhat1 is calculated from vectors of densities estimated at T equally-spaced times, t, between 0 and 2\pi:
For circular distributions, Dhat2 is equivalent to Dhat1, and Dhat3 is inapplicable.
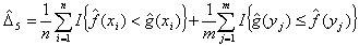
Dhat4 and Dhat5 use vectors of densities estimated at the times of the observations of the species, x and y:

where n, m are the sample sizes and I is the indicator function (1 if the condition is true, 0 otherwise).
Dhat5 simply checks which curve is higher at each point; even tiny changes in the data can result in large, discontinuous changes in Dhat5, and it can take values > 1. Don't use Dhat5.
Comparing curves at times of actual observations works well if there are enough observations of each species. Simulations show that Dhat4 is best when the smallest sample has at least 50 observations. Dhat1 compares curves at n.grid equally spaced points, and is best for small samples.
Value
If type = all, a named vector of three estimates of overlap, otherwise a single estimate. Will be NA if optimal bandwidth estimation failed.
Author(s)
Mike Meredith, based on work by Martin Ridout.
References
Ridout & Linkie (2009) Estimating overlap of daily activity patterns from camera trap data. Journal of Agricultural, Biological, and Environmental Statistics 14:322-337
Schmid & Schmidt (2006) Nonparametric estimation of the coefficient of overlapping - theory and empirical application, Computational Statistics and Data Analysis, 50:1583-1596.
See Also
Examples
# Get example data:
data(simulatedData)
# Use defaults:
overlapEst(tigerObs, pigObs)
# Dhat1 Dhat4 Dhat5
# 0.2908618 0.2692011 0.2275000
overlapEst(tigerObs, pigObs, type="Dhat4")
# Dhat4
# 0.2692011
Plot overlapping kernel densities
Description
Fits kernel density functions to two data sets and plots them, shading the area corresponding to the coefficient of overlap.
Usage
overlapPlot(A, B, xscale = 24, xcenter = c("noon", "midnight"),
linetype = c(1, 2), linecol = c("black", "blue"), linewidth = c(1, 1),
olapcol = "lightgrey", rug=FALSE, extend=NULL,
n.grid = 128, kmax = 3, adjust = 1, ...)
Arguments
A, B |
vectors of times of observations for species A and species B in radians, ie. scaled to [ |
xscale |
the scale for the x axis: 24 (the default) produces a curve with 0 to 24 hours. NA gives a scale in radians, labelled with |
xcenter |
the center of the plot on the x axis: 'noon' (default) or 'midnight'. |
linetype |
a vector of length 2 giving the line type for each species. Look for |
linecol |
a vector of length 2 giving the line colour for each species. See the Color Specification section in |
linewidth |
a vector of length 2 giving the line width for each species. |
olapcol |
the colour to use for the shaded area. See the Color Specification section in |
rug |
if TRUE, the original observations will be displayed as a rug at the bottom of the plot, A below B. |
extend |
If not NULL, the plot extends 3 hours before and after the main 24-hr period, and |
n.grid |
number of points at which to estimate the density for plotting; 100 is usually adequate to give a smooth-looking curve. |
kmax |
maximum value of k for optimal bandwidth estimation. |
adjust |
bandwidth adjustment (scalar). |
... |
Further arguments passed to the plotting functions such as |
Value
Returns invisibly a data frame with columns:
x |
a vector of equally-spaced times from midnight to midnight inclusive on the scale specified by |
densA |
a vector of length |
densB |
a similar vector for species B. |
Author(s)
Mike Meredith
See Also
densityPlot for plotting a single density curve.
Examples
# Get example data:
data(simulatedData)
# Do basic plot with defaults:
overlapPlot(pigObs, tigerObs)
# Make it prettier:
overlapPlot(tigerObs, pigObs, linet = c(1,1), linec = c("red", "blue"),
rug=TRUE, extend="lightgreen", main="Simulated data")
legend("topleft", c("Tiger", "Pig"), lty=1, col=c("red", "blue"), bg="white")
# Add vertical dotted lines to mark sunrise (05:30) and sunset (18:47):
# (times must be in hours if the x-axis is labelled in hours)
abline(v=c(5.5, 18+47/60), lty=3)
# A plot centered on midnight:
overlapPlot(pigObs, tigerObs, xcenter = "m", rug=TRUE)
# Mark sunrise/sunset; values to the left of "00:00" are negative
# so subtract 24:
abline(v=c(5.5, (18+47/60) - 24), lty=3)
Calculates the true coefficient of overlapping between two distributions.
Description
Calculates the true coefficient of overlapping between two distributions.
Usage
overlapTrue(d1, d2 = NULL)
Arguments
d1 |
either a vector or a 2-column matrix of densities for equidistant points from 0 to |
d2 |
a vector of densities as for d1; ignored if d1 is a matrix |
Details
The coefficient of overlapping \Delta for two probability density functions f(x) and g(x) is given by:
If the two curves in the plot below represent activity patterns of two species, the coefficient of overlapping is the area under the lower of the two curves, shaded grey in the figure:
Value
The coefficient of overlap of the two distributions. The function is intended to calculate true overlap for simulated data. If the densities provided are fitted kernel densities, an estimate of overlap results.
Author(s)
Mike Meredith, based on code by Martin Ridout.
References
Ridout & Linkie (2009) Estimating overlap of daily activity patterns from camera trap data. Journal of Agricultural, Biological, and Environmental Statistics 14:322-337
See Also
overlapEst for various estimators of overlap.
Examples
data(simulatedData)
overlapTrue(tigerTrue, pigTrue)
overlapTrue(cbind(tigerTrue, pigTrue))
Convert clock times to sun times
Description
Converts a vector of clock times to "sun times", by mapping sunrise to \pi/2 and sunset to 3\pi/2. Sunrise and sunset times are determined based on the dates and locations provided. See Nouvellet et al (2012) for a discussion. Requires the suntools package.
Usage
sunTime(clockTime, Dates, Coords)
Arguments
clockTime |
a vector of times of observations in radians, ie. scaled to [ |
Dates |
a POSIXct object with the dates of the observations; the time zone must be set to the time zone used for 'clockTime'. |
Coords |
a SpatialPoints object with the locations of the observations, or with a single point giving a approximate location for the study area; the coordinates must be geographical coordinates, eg, WGS84, with long before lat. |
Value
Returns a vector of "sun times" in radians, where \pi/2 corresponds to sunrise and 3\pi/2 to sunset.
Author(s)
Mike Meredith.
References
Nouvellet et al (2012) Noisy clocks and silent sunrises: measurement methods of daily activity pattern. Journal of Zoology 286:179-184.
Examples
# Check that sp and suntools packages are installed
if(requireNamespace("sp") && requireNamespace("suntools")) {
# Get example data:
data(simCalls)
str(simCalls)
# Convert dates to a POSIXct object with the right time zone (GMT):
Dates <- as.POSIXct(simCalls$dates, tz="GMT")
# Create a SpatialPoints object with the location
coords <- matrix(c(-3, 56), nrow=1)
Coords <- sp::SpatialPoints(coords, proj4string=sp::CRS("+proj=longlat +datum=WGS84"))
st <- sunTime(simCalls$time, Dates, Coords)
exPar<-par(mfrow=c(2,1))
densityPlot(st, col='red', lwd=2, xaxt='n', main="Sun time")
axis(1, at=c(0, 6, 12, 18, 24),
labels=c("midnight", "sunrise", "noon", "sunset", "midnight"))
densityPlot(simCalls$time, lwd=2, main="Clock time")
par(exPar)
}