Package {uniformly}


Type: Package
Title: Uniform Sampling
Version: 0.5.0
Date: 2023-07-18
Author: Stéphane Laurent
Maintainer: Stéphane Laurent <laurent_step@outlook.fr>
Description: Uniform sampling on various geometric shapes, such as spheres, ellipsoids, simplices.
License: GPL-3
URL: https://github.com/stla/uniformly
BugReports: https://github.com/stla/uniformly/issues
Imports: abind, pgnorm, rgl, stats
Suggests: geometry, knitr, misc3d, rmarkdown, scatterplot3d
VignetteBuilder: knitr
Encoding: UTF-8
RoxygenNote: 7.2.3
NeedsCompilation: no
Packaged: 2023-07-18 07:15:32 UTC; SDL96354
Repository: CRAN
Date/Publication: 2023-07-18 17:40:02 UTC

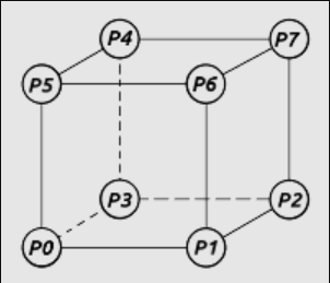
Make hexahedron

Description

Make a hexahedron for usage in runif_in_hexahedron and other functions.

Usage

makeHexahedron(p0, p1, p2, p3, p4, p5, p6, p7)

Arguments

p0, p1, p2, p3, p4, p5, p6, p7

the eight vertices of the hexahedron, as in the figure shown below

Details

A hexahedron is a polyhedron having six quad faces. Its eight vertices must be placed as in the figure below.

hexahedron

Value

A matrix with eight columns, the vertices.

See Also

The function plotHexahedron is useful to check the hexahedron.

Examples

library(uniformly)
# a non-convex hexahedron
hexahedron <- makeHexahedron(
  p0 = c(1.5, 1.5, 0),
  p1 = c(2, 0, 0),
  p2 = c(2, 2, 0),
  p3 = c(0, 2, 0),
  p4 = c(0, 2, 2),
  p5 = c(0, 0, 2),
  p6 = c(2, 0, 2),
  p7 = c(2, 2, 2)
)
plotHexahedron(hexahedron)

Plot hexahedron

Description

Plot a hexahedron with rgl.

Usage

plotHexahedron(hexahedron, alpha = 1)

Arguments

hexahedron

a hexahedron given by a 3 times 8 matrix; see makeHexahedron

alpha

opacity, a number between 0 and 1

Value

No returned value, called for plotting.

Examples

library(uniformly)
hexahedron <- makeHexahedron(
  p0 = c(0, 0, 0),
  p1 = c(2, 0, 0),
  p2 = c(2, 2, 0),
  p3 = c(0, 2, 0),
  p4 = c(0.5, 1.5, 2),
  p5 = c(0.5, 0.5, 2),
  p6 = c(1.5, 0.5, 2),
  p7 = c(1.5, 1.5, 2)
)
plotHexahedron(hexahedron)

Sampling on hemisphere

Description

Sampling on a hemisphere according to the Phong density (dimension 3).

Usage

rphong_on_hemisphere(n, alpha = 0, r = 1)

Arguments

n

number of simulations

alpha

parameter of the Phong density, a positive number; 0 for uniform sampling (default)

r

radius

Value

The simulations in a n times 3 matrix.

Examples

## Not run: 
library(rgl)
sims <- rphong_on_hemisphere(400, alpha = 10)
spheres3d(0, 0, 0, color = "red", alpha = 0.5)
points3d(sims)
## End(Not run)

Uniform sampling on/in cube

Description

Uniform sampling on or in a cube (arbitrary dimension).

Usage

runif_in_cube(n, d, O = rep(0, d), r = 1)

runif_on_cube(n, d, O = rep(0, d), r = 1)

Arguments

n

number of simulations

d

dimension

O

center of the cube

r

radius (half-side) of the cube

Value

The simulations in a n times d matrix.

Examples

sims <- runif_on_cube(60, d = 2)
plot(sims, xlim = c(-1,1), ylim = c(-1,1), pch = 19, asp = 1)
sims <- runif_in_cube(50, d = 3)
library(scatterplot3d)
scatterplot3d(sims, pch = 19, highlight.3d = TRUE, asp = 1)

Uniform sampling on/in ellipsoid

Description

Uniform sampling on an ellipsoid or in an ellipsoid. The sampling in an ellipsoid is available in arbitrary dimension. The sampling on an ellipsoid is available only in dimension 2 or 3.

Usage

runif_on_ellipse(n, A, r)

runif_on_ellipsoid(n, A, r)

runif_in_ellipsoid(n, A, r)

Arguments

n

number of simulations

A

symmetric positive-definite matrix defining the ellipsoid (see Details), of size 2 for runif_on_ellipse and size 2 or 3 for runif_on_ellipsoid (for size 2 these are the same functions)

r

"radius" (see Details)

Details

The ellipsoid is the set of vectors x satisfying t(x) %*% A %*% x == r^2. For example, for an axis-aligned ellipse with horizontal radius a and vertical radius b, take A=1/diag(c(a^2,b^2)) and r=1.

Value

The simulations in a matrix with n rows.

Examples

library(uniformly)
set.seed(666L)
# ellipse parameters
A <- rbind(c(2, 1), c(1, 1))
r <- 2
# plot the ellipse
x1 <- seq(-2.5, 2.5, length.out = 100)
x2 <- seq(-3, 3, length.out = 100)
z <- outer(
  x1, x2, FUN = Vectorize(function(x1, x2) t(c(x1, x2)) %*% A %*% c(x1, x2))
)
contour(x1, x2, z, nlevels = 1, levels = r^2, asp = 1, drawlabels = FALSE)
# simulations on the perimeter
sims <- runif_on_ellipse(60, A, r)
points(sims, pch = 19, col = "blue")
# simulations in the area
sims <- runif_in_ellipsoid(100, A, r)
points(sims, pch = 19, col = "green")
# 3D example ####
A <- matrix(c(5,1,1, 1,3,1, 1,1,1), ncol = 3L)
r <- 2
# draw the ellipsoid
library(misc3d)
x <- seq(-1, 1, length.out = 50)
y <- seq(-1.5, 1.5, length.out = 50)
z <- seq(-2.7, 2.7, length.out = 50)
g <- as.matrix(expand.grid(x = x, y = y, z = z))
voxel <- 
  array(apply(g, 1L, function(v) t(v) %*% A %*% v), dim = c(50, 50, 50))
isosurface <- computeContour3d(voxel, max(voxel), r^2, x = x, y = y, z = z)
drawScene.rgl(makeTriangles(isosurface, alpha = 0.3))
# simulate and plot points on ellipsoid
library(rgl)
sims <- runif_on_ellipsoid(300, A, r)
points3d(sims)

Uniform sampling in an annulus

Description

Uniform sampling in an annulus (dimension 2).

Usage

runif_in_annulus(n, O, r1, r2)

Arguments

n

number of simulations

O

center of the annulus

r1

inner radius

r2

outer radius

Value

The simulations in a n times 2 matrix.

Examples

sims <- runif_in_annulus(100, c(0, 0), 1, 2)
plot(sims, xlim = c(-2, 2), ylim = c(-2, 2), asp = 1, pch = 19)

Uniform sampling in a hexahedron

Description

Uniform sampling in a hexahedron (polyhedron with six faces).

Usage

runif_in_hexahedron(n, hexahedron)

Arguments

n

number of simulations

hexahedron

a hexahedron given by a 3 times 8 matrix whose eight columns are the vertices; see makeHexahedron

Value

The simulations in a n times 3 matrix.

Examples

library(uniformly)
hexahedron <- makeHexahedron(
  p0 = c(0, 0, 0),
  p1 = c(2, 0, 0),
  p2 = c(2, 2, 0),
  p3 = c(0, 2, 0),
  p4 = c(0.5, 1.5, 2),
  p5 = c(0.5, 0.5, 2),
  p6 = c(1.5, 0.5, 2),
  p7 = c(1.5, 1.5, 2)
)
sims <- runif_in_hexahedron(200, hexahedron)
plotHexahedron(hexahedron, alpha = 0.3)
rgl::points3d(sims)

Uniform sampling in a p-ball

Description

Uniform sampling in a p-ball (arbitrary dimension).

Usage

runif_in_pball(n, d, p, r = 1)

Arguments

n

number of simulations

d

dimension

p

exponent in the p-norm, a positive number

r

positive number, the radius

Value

The simulations in a n times d matrix.

Examples

sims <- runif_in_pball(500, d = 2, p = 1)
plot(sims, xlim = c(-1, 1), ylim = c(-1, 1), asp = 1)

Uniform sampling in a polygon

Description

Uniform sampling in a polygon (dimension 2).

Usage

runif_in_polygon(n, vertices, center = "centroid")

Arguments

n

number of simulations

vertices

two-columns matrix giving the vertices (rows); the vertices must be ordered (clockwise or counterclockwise)

center

a point with respect to which the polygon is star-shaped, or "centroid" (default) to take the centroid (see Details)

Details

This function works for a star-shaped polygon, that is, a polygon that contains a point from which the entire polygon boundary is visible. This point must be given in the center argument. If the polygon is convex, any point inside the polygon is suitable (thus the default option of the center argument is appropriate in this case).

Value

The simulations in a n times 2 matrix.

Examples

vs <- matrix(c(0.951056516295154, 0.309016994374947,
               0.224513988289793, 0.309016994374947,
               -0.951056516295154, 0.309016994374948,
               -0.363271264002681, -0.118033988749895,
               0.587785252292473, -0.809016994374948,
               0.36327126400268, -0.118033988749895,
               0, 1,
               -0.224513988289793, 0.309016994374947,
               -0.587785252292473, -0.809016994374947,
               0, -0.381966011250105),
             ncol=2, byrow=TRUE)
sims <- runif_in_polygon(500, vs)
plot(sims, xlim = c(-1, 1), ylim = c(-1, 1), pch = 19, asp = 1)

Uniform sampling in a simplex

Description

Uniform sampling in a simplex (arbitrary dimension).

Usage

runif_in_simplex(n, simplex)

Arguments

n

number of simulations

simplex

a (d+1) times d matrix giving the vertices of the simplex (rows)

Value

The simulations in a n times d matrix.

Note

In dimension 3, you can use runif_in_tetrahedron instead.

Examples

simplex <- rbind(c(0,0,0), c(1,0,0), c(1,1,0), c(1,1,2))
sims <- runif_in_simplex(1000, simplex)
library(rgl)
points3d(sims)

Uniform sampling in a tetrahedron

Description

Uniform sampling in a tetrahedron (in dimension 3).

Usage

runif_in_tetrahedron(n, v1, v2, v3, v4)

Arguments

n

number of simulations

v1, v2, v3, v4

vertices of the tetrahedron

Value

The simulations in a n times 3 matrix.

See Also

runif_in_simplex for sampling in a simplex in arbitrary dimension.

Examples

library(rgl)
tetrahedron <- tetrahedron3d()
shade3d(tetrahedron, color = "red", alpha = 0.3)
vs <- tetrahedron$vb[1L:3L, ]
sims <- runif_in_tetrahedron(100, vs[, 1], vs[, 2], vs[, 3], vs[, 4])
points3d(sims)

Uniform sampling on a spherical patch

Description

Uniform sampling on a spherical patch (in dimension 3).

Usage

runif_on_spherePatch(n, r = 1, phi1, phi2, theta1, theta2)

Arguments

n

number of simulations

r

radius

phi1, phi2

numbers defining the latitudinal angle range

theta1, theta2

numbers defining the longitudinal angle range

Details

A sphere patch is the part of the sphere whose polar angles theta and phi satisfy 0 <= theta1 <= theta <= theta2 <= 2*pi and 0 <= phi1 <= phi <= phi2 <= pi.

Value

The simulations in a n times 3 matrix.

See Also

runif_on_stri for sampling on a spherical triangle.

Examples

# sampling on the first orthant:
sims <- 
  runif_on_spherePatch(100, phi1 = 0, phi2 = pi/2, theta1 = 0, theta2 = pi/2)
## Not run: 
library(rgl)
spheres3d(0, 0, 0, color = "red", alpha = 0.5)
points3d(sims)
## End(Not run)

Uniform sampling on a spherical cap

Description

Uniform sampling on a spherical cap (in dimension 3).

Usage

runif_on_sphericalCap(n, r = 1, h)

Arguments

n

number of simulations

r

radius of the sphere

h

height of the cap

Value

The simulations in a n times 3 matrix.

Examples

sims <- runif_on_sphericalCap(500, r = 2, h = 1)
## Not run: 
library(rgl)
spheres3d(0, 0, 0, radius = 2, color = "red", alpha = 0.5)
points3d(sims)
## End(Not run)

Uniform sampling on a spherical triangle

Description

Uniform sampling on a spherical triangle (in dimension 3).

Usage

runif_on_stri(n, r = 1, v1, v2, v3)

Arguments

n

number of simulations

r

radius

v1, v2, v3

vertices

Value

The simulations in a n times 3 matrix.

Examples

# sampling on the first orthant:
sims <- runif_on_stri(100, v1 = c(1, 0, 0), v2 = c(0, 1, 0), v3 = c(0, 0, 1))
## Not run: 
library(rgl)
spheres3d(0, 0, 0, color = "red", alpha = 0.5)
points3d(sims)
## End(Not run)

Uniform sampling on/in sphere

Description

Uniform sampling on a sphere or in a sphere, in arbitrary dimension.

Usage

runif_on_sphere(n, d, r = 1)

runif_in_sphere(n, d, r = 1)

Arguments

n

number of simulations

d

dimension of the space

r

radius of the sphere

Value

The simulations in a n times d matrix.

Examples

sims <- runif_on_sphere(20, d = 2)
plot(sims, xlim = c(-1, 1), ylim = c(-1, 1), asp = 1, pch = 19)
sims <- runif_in_sphere(100, d = 2)
plot(sims, xlim = c(-1, 1), ylim = c(-1, 1), asp = 1, pch = 19)

Uniform sampling on/in torus

Description

Uniform sampling on or in a torus (dimension 3).

Usage

runif_on_torus(n, R, r)

runif_in_torus(n, R, r)

Arguments

n

number of simulations

R

major radius

r

minor radius

Value

The simulations in a n times 3 matrix.

Examples

R <- 3; r <- 2
sims_on <- runif_on_torus(50, R = R, r = r)
sims_in <- runif_in_torus(50, R = R, r = r)
library(misc3d)
fx <- function(u,v) (R+r*cos(u)) * cos(v)
fy <- function(u,v) (R+r*cos(u)) * sin(v)
fz <- function(u,v) r*sin(u)
parametric3d(
  fx, fy, fz, umin = 0, umax = 2*pi, vmin = 0, vmax = 2*pi, alpha = 0.3
)
library(rgl)
points3d(sims_on)
points3d(sims_in, color = "red")

Uniform sampling on/in a triangle

Description

Uniform sampling on or in a triangle (dimension 2).

Usage

runif_in_triangle(n, v1, v2, v3)

runif_on_triangle(n, v1, v2, v3)

Arguments

n

number of simulations

v1, v2, v3

vertices of the triangle

Value

The simulations in a n times 2 matrix.

Examples

sims <- runif_on_triangle(30, c(0,0), c(1,0), c(0,1))
plot(sims, xlim = c(0,1), ylim = c(0,1), pch = 19)
sims <- runif_in_triangle(100, c(0,0), c(1,0), c(0,1))
plot(sims, xlim = c(0,1), ylim = c(0,1), pch = 19)

Uniform sampling on/in a unit simplex

Description

Uniform sampling on or in a unit simplex (arbitrary dimension).

Usage

runif_on_unitSimplex(n, d)

runif_in_unitSimplex(n, d)

Arguments

n

number of simulations

d

dimension of the space

Value

The simulations in a n times d matrix.

See Also

runif_in_tetrahedron for sampling in an arbitrary tetrahedron in dimension 3; runif_in_simplex for sampling in an arbitrary simplex.

Examples

library(rgl)
sims <- runif_on_unitSimplex(300, d = 3)
points3d(sims)

Sphere surface

Description

Surface of a sphere (arbitrary dimension).

Usage

surface_sphere(d, r = 1)

Arguments

d

dimension of the space

r

radius of the sphere

Value

The surface of the sphere of radius r in the d-dimensional space.

Examples

r <- 2
surface_sphere(3, r)
4*pi*r^2
# perimeter of the unit circle:
surface_sphere(2)

Sphere patch surface

Description

Surface of a sphere patch.

Usage

surface_spherePatch(r, phi1, phi2, theta1, theta2)

Arguments

r

radius

phi1, phi2

numbers defining the latitudinal angle range

theta1, theta2

numbers defining the longitudinal angle range

Details

A sphere patch is the part of the sphere whose polar angles theta and phi satisfy 0 <= theta1 <= theta <= theta2 <= 2*pi and 0 <= phi1 <= phi <= phi2 <= pi.

Value

The surface of the sphere patch.

See Also

surface_stri for the surface of a spherical triangle.

Examples

# surface of the first orthant:
surface_spherePatch(r=1, phi1=0, phi2=pi/2, theta1=0, theta2=pi/2)
surface_stri(r=1, c(1,0,0), c(0,1,0), c(0,0,1))

Spherical cap surface

Description

Surface of a spherical cap.

Usage

surface_sphericalCap(r, h)

Arguments

r

radius of the sphere

h

height of the cap

Value

The surface area of the spherical cap.


Spherical triangle surface

Description

Surface of a spherical triangle.

Usage

surface_stri(r, v1, v2, v3)

Arguments

r

radius

v1, v2, v3

vertices

Value

The surface of the spherical triangle of radius r with vertices v1, v2, v3.

Examples

# surface of the first orthant:
surface_stri(r=1, c(1,0,0), c(0,1,0), c(0,0,1))

Torus surface

Description

Surface of a torus.

Usage

surface_torus(R, r)

Arguments

R

major radius

r

minor radius

Value

The surface area of the torus.


Triangle surface

Description

Surface of a triangle.

Usage

surface_triangle(v1, v2, v3)

Arguments

v1, v2, v3

vertices of the triangle

Value

The surface of the triangle with vertices v1, v2, v3.

Examples

surface_triangle(c(0,0), c(0,1), c(1,0))

Ellipsoid volume

Description

Volume of an ellipsoid (arbitrary dimension).

Usage

volume_ellipsoid(A, r)

Arguments

A

symmetric positive-definite matrix defining the ellipsoid (see Details)

r

"radius" (see Details)

Details

The (boundary of the) ellipsoid is the set of vectors x satisfying t(x) %*% A %*% x == r^2.

Value

The volume of the ellipsoid.

Examples

# dimension 2 (area), with diagonal matrix A
A <- diag(c(2,3))
r <- 2
volume_ellipsoid(A, r)
pi * r^2 / sqrt(A[1,1]*A[2,2])

Hexahedron volume

Description

Volume of a hexahedron.

Usage

volume_hexahedron(hexahedron)

Arguments

hexahedron

a 3 times 8 matrix whose columns are the eight vertices of the hexahedron; see makeHexahedron

Value

The volume of the hexahedron.

Examples

library(uniformly)
# a cube with side 2 ####
hexahedron <- makeHexahedron(
  p0 = c(0, 0, 0),
  p1 = c(2, 0, 0),
  p2 = c(2, 2, 0),
  p3 = c(0, 2, 0),
  p4 = c(0, 2, 2),
  p5 = c(0, 0, 2),
  p6 = c(2, 0, 2),
  p7 = c(2, 2, 2)
)
volume_hexahedron(hexahedron) # should be 8

p-ball volume

Description

Euclidean volume of a p-ball (arbitrary dimension).

Usage

volume_pball(d, p, r = 1)

Arguments

d

dimension

p

exponent in the p-norm, a positive number

r

radius of the ball

Value

The volume of the p-ball with radius r.

Examples

volume_pball(d=4, p=2, r=2)
volume_sphere(d=4, r=2)

Simplex volume

Description

Volume of a simplex (arbitrary dimension).

Usage

volume_simplex(simplex)

Arguments

simplex

a (d+1) times d matrix giving the vertices of the simplex (rows)

Value

The volume of the simplex.

Examples

set.seed(666)
simplex <- matrix(rnorm(4*3), nrow=4, ncol=3)
volume_simplex(simplex)
volume_tetrahedron(simplex[1,], simplex[2,], simplex[3,], simplex[4,])

Sphere volume

Description

Volume of a sphere (arbitrary dimension).

Usage

volume_sphere(d, r = 1)

Arguments

d

dimension of the space

r

radius of the sphere

Value

The volume of the sphere with radius r in the d-dimensional space.

Examples

r <- 2
volume_sphere(3, r)
4/3*pi*r^3

Spherical cap volume

Description

Volume of a spherical cap.

Usage

volume_sphericalCap(r, h)

Arguments

r

radius of the sphere

h

height of the cap

Value

The volume of the spherical cap.


Tetrahedron volume

Description

Volume of a tetrahedron (dimension 3).

Usage

volume_tetrahedron(v1, v2, v3, v4)

Arguments

v1, v2, v3, v4

vertices of the tetrahedron

Value

The volume of the tetrahedron.

See Also

volume_simplex for the volume of a simplex in arbitrary dimension.

Examples

v1 <- c(0,0,0); v2 <- c(1,0,0); v3 <- c(0,1,0); v4 <- c(0,0,1)
volume_tetrahedron(v1, v2, v3, v4)
volume_unitSimplex(3)

Torus volume

Description

Volume of a torus.

Usage

volume_torus(R, r)

Arguments

R

major radius

r

minor radius

Value

The volume of the torus.


Unit simplex volume

Description

Volume of the unit simplex (arbitrary dimension).

Usage

volume_unitSimplex(d)

Arguments

d

dimension of the space

Value

The volume of the unit simplex in the space of dimension d.

See Also

volume_simplex for the volume of an arbitrary simplex.